想知道继电器开和关要多久?搭一个电路!
继电器打开与关闭需要多长时间?
有太多的因素影响这个问题,确实没有明确的答案可以给出。不过,通过搭建测试电路,我们可以去观察继电器的行为,包括电枢物理接触电磁铁芯时电感的变化、飞行时间、接触反弹和电压的影响,来探索继电器的属性。
希望本文能对你有所帮助。
1. 什么是继电器?
我们以在工业应用中经常使用的插入式“继电器”为例。即继电器被“插入”在两个系统之间。
- 工作原理:
本文讨论的是继电器工作速度。下图所示的硬件用于说明原理。
图 1 :图片显示夹在 Millenium Slim PLC 和三相接触器之间的插入继电器
从左到右,我们看到一个 0.5A 断路器, 端子块连接器,Crouzet 的可编程逻辑(PLC) 底座安装,控制继电器,浪涌抑制二极管加插座,和一个 24VDC 的接触器(DPE09BL)。
技术小贴士 :关闭大型直流接触器或继电器可能是一个有压力的事。回想一下,线圈在磁场中储存能量。还记得电感器“想”保持电流恒定。其结果被称为感应踢脚(inductive kick ),在线圈断电的那一刻,电感器会做任何必要的事情来保持电流恒定。如果没有相关的保护,电压将上升到数百伏,造成电弧来维持电流。这将破坏任何用于控制线圈的半导体开关。浪涌抑制二极管通常被合并,以提供电流的替代路径。
- 更多内容,请看:什么是插入式继电器?
下面,我们来看看打开关闭继电器开关,具体要多少时间?
2. 继电器测试电路
首先,我们来搭建一个继电器打开关闭时间的测试电路。
硬件部分:
- 一个工业继电器46.52加插座
- 一个 Arduino Nano Every 来切换驱动
- 一个Digilent 示波器 ANALOG DISCOVERY
- 探头 BNC 适配器
- 10x 探头,允许测量高达 +/- 250 VDC的模拟电压
图2:继电器打开关闭时间的测试电路
3. 继电器关闭时间测试
3.1 继电器关闭测试原理解析:
这个继电器驱动器看起来可能设计得有点复杂,但实际上高边驱动器Q2是必要的,它能把继电器接地。这样,我们就可以安装一个小值的分流电阻R5。因为这个电阻在接地位置,所以我们可以很容易地测量继电器电流,就像测量一个已知电阻上的小电压降一样。
电路的其他部分包括电平转换晶体管Q1,以及通过常闭(常闭)和常开(N.O.)指示LED来检测继电器状态的方式。
别忘了继电器线圈上的D1反馈二极管。当继电器关闭时,这个二极管可以保护晶体管Q2。这个二极管对继电器打开没有影响,但对继电器关闭有重要作用。
图3:继电器关闭测试原理图
技术小贴士:继电器常开 (N.O.) 与常闭 (N.C.) 触点的区别
如下图所示。左侧为常闭 (N.C.)型,右侧为常开 (N.O.).型。观察两种配置单线连接的区别。我们看到电线从N.C.(引脚12)移动到N.O.(引脚14)。
图4. 常开、常闭继电器实验示意图
图5. Finder(46系列)继电器
更多信息:
简单的实验: 继电器常开 (N.O.) 与常闭 (N.C.) 触点的区别3.2 测试结果:
结果如下图 所示。有三个面板:
- 上面板:橙色曲线(CH 1)是Q2集电极处测得的继电器激活电压。蓝色曲线(CH 2)是R5分流电阻处测得的继电器电流。
- 中面板:蓝色曲线(CH 2)是继电器常闭触点处测得的电压。
- 下面板:蓝色曲线(CH 2)是继电器常开触点处测得的电压。
技术提示: Analog Discovery 3 作为双通道示波器运行。当配备 10 X探头时,它能够测量高达 +/- 250VDC 的信号。如果使用 4 通道示波器,则下图的复合图可以构建为单个屏幕截图。
图6. 继电器的激活波形,包括线圈的电流,常闭和常开触点电压
根据上图数据,我们观察到:
- 电枢运动首次观察到在 4.7ms 时,常闭触点切换。
- 从 4.7ms 到 7.6ms 有 2.9ms 的飞行时间。在这个“飞行时间”中,常闭和常开触点都没有连接到电路。
- 与常开触点的第一次接触发生在 7.6ms。
- 从 7.6ms 开始一直延伸到8.8 ms,触点反弹 1.2ms。

除了这些触点的变化,继电器电流中有一个微妙的下降。这发生在电枢运动时。推测,继电器电感变化,因为电枢的铁板与线圈的金属芯有物理接触。线圈电感的突然变化扰乱了继电器电流的缓慢斜坡。注意,如果电枢对着线圈保持在位置上,这种扰动就不会发生。
如果你想了解继电器关闭速度,请看下面内容:
4. 继电器打开测试
4.1 继电器打开测试原理解析:
和继电器开闭测试原理图稍微有一点不一样。对高侧驱动程序和 R4 的位置有轻微的修改。将原来的 MPSA56 换成了电压更高的2N5401 。这是必要的,因为当继电器停用时,我们将遇到更高的电压。R4 电阻移动,使其与反激二极管 D1 串联。
图7. 继电器打开测试原理图
技术小贴士 :你可能会反对在这种高压情况下使用 1N4001 二极管。毕竟继电器 K1 的感应反打会发展到近 100V。然而,在这种情况下,1N4001 二极管并没有受到压力,因为当继电器断电时,它会传导约 0.7VDC 的二极管降。在正向方向上,它将遇到一个 24VDC 。预期的电压和电流都在 1N4001 二极管的设计最大值之内。
- 感应回击(Inductive Kick)和反激二极管
电感中的磁场会储存能量。当我们关闭晶体管Q2时,磁场会崩溃,从而在K1线圈上产生电压尖峰。如果我们把继电器(或更准确地说,是继电器内部的电感)想象成一个人,我们可以说电感在晶体管Q2关闭前后都试图保持电流恒定。
电感与“恒定电流”作用相关的特性会产生电压。如果不加以控制,这个电压会上升到几百伏甚至上千伏,以维持电流。过高的电压会破坏晶体管Q2,除非它被钳制住。
请注意,我们正在使用高边驱动器(Q2)来控制继电器。请花点时间观察这个电压尖峰的极性。许多读者可能会基于之前用低边NPN晶体管驱动的继电器实验,而假设这个尖峰是正的。但在这个例子中并非如此。相反,当Q2关闭时,在Q2集电极测得的电压会立即从24伏直流电压变为负电压。这个尖峰的幅度只受到电阻R4和二极管D4正向传导的限制。请参考上面电路图,确保你明白当Q2集电极变为负电时,二极管D4是正向偏置的。
- R4短路时的结果
大多数系统都不会额外添加电阻R4,而是直接将续流二极管跨接在继电器线圈上。这种配置非常常见,比如这次实验用的工业继电器,就包含一个可选的二极管模块4,如下图所示。
图8. 实验中所用Finder继电器的续流二极管和LED指示模块
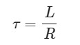
这个并联二极管使用起来既有效又简单。但遗憾的是,它会导致继电器打开速度变慢。这是因为继电器的打开速度与其电感时间常数有关,而电感时间常数由下面的公式决定:

其中,L是继电器线圈的电感,R是继电器内部电阻。与原始驱动电压(本例为24伏直流电压)相比,二极管实际上相当于短路。
回想一下你在学校学到的电容放电电路,当时遇到的初始充电问题,能量就是通过电阻耗散的。这里的情况与之类似。能量储存在电感器的磁场中,当与电源断开时,端子就会短路,所有能量都在电感器内部电阻和少量二极管中消耗掉。
结果如下图所示,包含三个面板:
- 上面板:橙色轨迹(CH 1)是Q2集电极测得的继电器激活电压。蓝色轨迹(CH 2)是跨接在R5分流电阻上测得的继电器电流。
- 中面板:蓝色轨迹(CH 2)是继电器常闭触点测得的电压。这个常闭触点正在由断开状态转为关闭状态。
- 下面板:蓝色轨迹(CH 2)是继电器常开触点测得的电压。
图9. 继电器的断电波形,包括线圈电流、常闭和常开触点
根据上图的数据,我们观察到:
- 当常开触点切换时,首先在8毫秒观察到衔铁运动。
- 从8毫秒到9.5毫秒是1.5毫秒的“飞行时间”。在这段时间里,无论是常开触点还是常闭触点都没有与电路连接。
- 在9.5毫秒时,首先与常闭触点接触。
- 从9.5毫秒开始,触点弹跳持续4.5毫秒,直到14毫秒。
前面文章中提到的电流中的摆动仍然存在。这种飞行时间内的变化是由于衔铁的金属板离开电感器的中央铁芯时电感发生变化造成的。
与前面的文章相比,带有并联续流二极管的继电器打开速度较慢。在这个L/R系统中,继电器从激活到最终弹跳需要8.8毫秒,我们定义这个时间为t0。它关闭需要14毫秒。
如果你想提高继电器提高打开速度,请看下面内容:
5. 经验教训
我们是不是走进了死胡同?
工程师们的集体智慧告诉我们,继电器更快地断电是一个值得追求的目标。工作原理是线圈能量耗散会导致触点更快移动。这应该能延长继电器的使用寿命,因为更快移动的触点能更好地熄灭负载下触点打开时自然形成的电弧。
不幸的是,这个有限的实验并不支持这个理论。相反,它表明继电器的飞行时间与L/nR时间常数关系不大。回想一下,我们定义飞行时间为双极触点的时间,即衔铁在运动但没有与常闭或常开触点连接的时间。
这种矛盾的想法也得到了接触弹跳时间和弹跳特征的支持。就像一个篮球,移动更快的触点不是有更多的动能,导致它跳得更高,持续弹跳更长时间吗?但看起来并不是这样。
对此,你有何看法?
更多有关继电器技术文章,请点击以下链接,也欢迎大家在文未留言讨论。
小编的话
继电器的工作速度是其重要的性能特性之一,了解这一特性能够帮助我们选择合适的继电器、优化电路设计,并实现更精确的设备控制,但影响其工作速度的开关时长并不容易得到,小伙伴们不妨通过本文提供的方法来获取。您对获取继电器开关时长还有哪些方法、经验或疑问?欢迎到技术论坛留言,分享交流!
Have questions or comments? Continue the conversation on TechForum, Digi-Key's online community and technical resource.
Visit TechForum

