四个对比 搞清薄膜电容关键特性
由于薄膜电容以下特点,输入滤波电路中经常会用到薄膜电容:
薄膜电容对比其他类型的电容的优势:
- 更低的寄生效应,
- 在温度和频率上表现出非常稳定
- 耐高纹波电流能力
- 自修复特性
图 1 薄膜电容结构(图片来源于Yageo的R46系列 的 数据手册)
当有强制性的特殊安全要求时,该特性保证了整个产品工艺链的高可靠性。其他技术虽然也可以制造可靠的电容。但在制造后,如在PCB或设备安装过程中,可能会出现其他问题。此外,薄膜电容器的故障模式是容值下降或开路模式,这使得它们非常适合需要安全和可靠性的场合。
然而,不同电介质材料的薄膜电容的特性,也会有所不同。比较全面不同介质类型的薄膜电容,其耐温表现以及高频应用下的表现都不一样。了解每种薄膜材料的优缺点,才能更好地找到适合项目的薄膜电容。
薄膜电容四种常见电介质材料对比
薄膜电容,常见的4种电介质材料:

Digi-Key介电材料选择
在Digi-Key网站,可以根据产品的介电材料来选择合适的薄膜电容

1.

(资料来源于Yageo)
根据这个表格,可能会发现PET或许是电压、温度和介电常数最佳组合的材料。同时PET也是最常见的薄膜电容介电材料,耐高低温,我们也称他们为涤纶电容(Polyester Capacitor)
2. 容值随温度频率的变化
薄膜电容的容值受温度的影响。根据用作电介质的塑料膜的类型,容值得变化率会有所不同。
使用PPS,容值几乎不会发生变化。
对于PET,这种变化的特征是正温度系数,
而对于PP,则是负温度系数。
图 3 不同材料薄膜电容,容值随温度频率变化 (图片来源于TDK)
也有复合电容器使用具有相反热系数的材料组合来稳定电容。电容也会根据频率而变化,如下图所示。PPS的一个特点是它的热特性和频率特性都很好。
3. tanδ随温度频率的变化
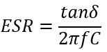
tanδ反应的是电容电介质内单位体积中能量损耗的大小,tanδ越小,说明薄膜电容的品质越好。
如何计算tanδ
电容等效串联电阻(ESR)是一个很重要的参数, 我们可以通过物料损耗角(δ)的相关信息来计算ESR值。
电容的总复阻抗在实-复数平面上表示为实数分量(ESR)和复数(无功)分量的矢量和,用以表示“理想”电容(ESR等元素在所有实际分量中均混合使用)。总阻抗与其复数分量之间的角称为“损耗角” (即tanδ ),该数值用于概括电容总阻抗的理想和非理想分量之间的比值。

根据tanδ,我们可以通过下面公式计算出计算电容ESR。

更多内容参考:通过tan δ计算电容ESR
tanδ随温度频率的变化
tanδ倾向于随着频率增加而增加, 但随着温度增加对于PP材质薄膜电容最不明显。
图 4不同材料薄膜电容,tanδ随温度频率变化 (图片来源于TDK)
因此,PP材质薄膜电容适用于大电流应用。
小贴士:薄膜电容使用时的注意事项-额定电压
额定电压即恒定基础上施加到电容器的最大电压。额定电压可用于直流和交流。对于薄膜电容,直流和交流额定电压通常在几十到几百伏的范围内。用于电力系统的高压类型的交流电压额定值可以到几千伏或更高。
交流额定值是假定仅用于处理交流电流的电路中的电容电压。当用于交流时,如果施加的电压超过一定水平,则会发生电晕放电。持续电晕放电可能导致绝缘击穿。由于额定电压有随温度升高而下降的趋势,因此必须选择具有余量的电容。
我们以R74系列举例:

在R74数据手册中,我们可以看到,当温度超过85度时,额定电压每升一度,建议降低1.25%
高频电流或纹波电流会导致薄膜电容的自发热。通常温升可能会保持在5至10°C之间,但必须注意环境温度加上自加热温度不得超过电容器的使用范围。
5. 最后总结一下:

多年来,薄膜电容一直用作EMI滤波器中的X和Y 电容,并大量应用在工业和消费者应用中。了解不同材料薄膜电容特性,有助于更快地找到合适的薄膜电容。
更多有关电容技术的文章,请点击以下链接:
小编的话:
作为一种在消费和工业系统中广泛应用的元件,薄膜电容是一种性能优秀的电容器。要选用好薄膜电容,需要对其特性有着充分的了解。相信通过这篇文章的介绍,我们对薄膜电容器件的不同介质以及其对应的特性有了更多的了解。您对薄膜电容的介质、特性和选用有哪些心得和经验?欢迎留言,分享和交流!
Have questions or comments? Continue the conversation on TechForum, Digi-Key's online community and technical resource.
Visit TechForum

