请注意!这几个电感参数千万别忽略!
在电感电路设计过程中,我们往往只留意电感值大小,却容易忽略电感值还会随着频率变化;找到了电感的直流电阻,却忽略留意其交流电阻的特性。本文尝试分享一些容易被忽略的电感关键参数。
1. 什么是电感
电感是由通常缠绕在固体材料上的线圈组成的,这种固体材料一般都具有铁磁性或高磁导性。事实上,电磁场是基于内部绕组和电流流动方向并以特定的方式产生的。如果你希望了解电磁场的发生方式,建议阅读这篇贴文:电磁基础浅谈
- 电感回冲特性与方向
电感的一个关键特性是回冲。电感内部和周围产生的磁场会存储能量,并且在快速断电的情况下,会在连接的电路上以非常高的电压释放能量。
图 1 电感电流方向与磁场方向
当电感上的电压降低时,磁场会发生分解并存储产生高电压所需的能量(这对于许多电路设计来说是至关重要的,并且可能损坏敏感组件)。电感内部的线圈始终是相同的,不论是否将其翻转。当倒置时,顺时针向上转动的线圈仍将顺时针向上转动。如果从上向下看,则变为顺时针旋转。同样,如果将线圈倒置,它将从上向下逆时针转动。
无论电感绕组的方向和朝向如何,磁场的极化都与回冲无关,因为由连接电路上的电感产生的电压所导致的电流总是以相反的方向流动。这就是为什么单个电感没有极性的原因。真正的问题在于,如何根据期望的电路特性正确地施加电流。以下是展示回冲现象的快速动画演示:
图 2 电感回冲现象
2. 哪些容易被忽略的电感参数
2.1 电感值与频率
我们以Würth Elektronik 的744901115举例
数据手册中给出电感值15nH,这是在500MHz测试条件下,可达到+/-2%的公差。
图 3 电感值(图片来源于Würth Elektronik)
然而,电感值不是一成不变的,会随着频率的变化而变化。如果你想知道某一特定频率下的电感值,可以参看电感与频率曲线。一般会在数据手册中列出。
图 4 电感值与频率(图片来源于Würth Elektronik)
一般来说,电感值频率曲线尽可能平坦是非常重要。
电感换算器可帮助您换算不同量程单位(从皮亨 (pH) 到千亨 (kH))之间的电感测量值,以及这些单位之间的转换。
图 5 DigiKey电感单位换算在线工具
2.2 电感的阻抗
- 电感的直流电阻(DCR)
直流电阻(DCR)表示电感受到信号频率接近0Hz时的电阻值。 一般,常見电感的DCR值都很低。
我们还是以Würth Elektronik 的744901115举例,直流电阻在20°C,典型值0.91Ω,最大值1.8Ω
图 6 电感直流电阻,(图片来源于 Würth Elektronik)
当考虑相同尺寸大小的电感时,电感通常会是
- 如果电感值较高,则直流电阻值较高
- 如果电感值较低,则直流电阻值较低
请注意,直流电阻对于确定电线加热损耗至关重要。 因此,有必要尽可能选择较低的DCR,使电感的功率损耗降低。
- 电感的交流电阻(ACR)
电感的规格中常常会包含直流电阻值,却没有交流电阻。在高频应用中,你有时可能需要考虑交流电阻。
图 7 频率与交流电阻
实际的电感包括在铁芯上产生涡流损耗的电阻分量,以及由于集肤和邻近效应而增加的导线的电阻分量。这些分量称为交流电阻。交流电阻值与频率成正比增加(如下例所示),对高频下的功率损耗和组件温度的增加有显著影响,因此需要考虑实际使用情况。
- 小贴士:电感阻抗计算
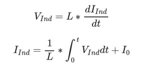
阻抗可以理解为交流电路中的无源元件减少或阻碍电流的程度。这同样适用于高频无线电应用或高频数字电路应用,因为所有这些应用都具有共同之处,即,它们在任何周期性波形中都具有某种形式的电压变化。(注意:这并非仅局限于正弦波。)一些直流波形可以通过稳定的直流输入进行操作,其中包括方波、锯齿波、三角波和其他脉冲模式。
以下是电感上电压和电流的等式:

这里有一个实用小工具,方便计算指定频率下电感或电容器的电抗或导纳大小。
图 8 DigiKey电抗计算器
2.3 额定电流
额定电流是指引起定义温升的最大直流电流。
我们以Würth Elektronik 的7449152090举例
图 9 额定电流与温升(图片来源:Würth Elektronik)
但须留意,为了安全,温升加上环境温度不得超过最高工作温度。
还是以Würth Elektronik 的7449152090为例子,根据数据手册,额定电流30A
图 10 额定电流(图片来源:Würth Elektronik)
2.4 电感功率
许多电感数据手册中列明了额定电流,但未列明额定电压和额定功率。电感的额定电流取决于电路设计中采用的最大电流。要确定电感在烧毁前可以承载的最大功率,可用额定电流乘以电路中使用的电压。要确定电感中因电阻导致的功率损耗,可将直流电阻(DCR)代入公式P=I2XR中计算,以确定是否存在明显损耗。
图 11 DigiKey欧姆定律计算器
2.5 自谐振频率 ( SRF )
由于任何线圈的绕组结构都会表现出一定的电容,它自身的电感和分布电容在一定频率上会产生谐振,这个频率叫作自谐振频率 ( SRF )。
图 12 电感寄生参数
当正好在自谐振频率处,电感及其寄生电容表现为具有几乎无限高阻抗的谐振电路。超出自谐振频率之外,“电感”的行为就像电容。
下图黑线便是电感值,红线表示阻抗值
图表 13 频率与电感值/阻抗(图片来源:Würth Elektronik)
图片来源于Würth Elektronik 的744758256A
所以,当设计一个高频电路时,仅仅考虑电感值是不够的。还需要考虑到自谐振频率要远远高于使用频率。自谐振频率也可以在数据手册中查到。以Würth Elektronik 的744758256A举例,自谐振频率在3300MHz之上
图 14 2.5 自谐振频率 ( SRF ) (图片来源:Würth Elektronik)
2.6 电感的Q值
质量因子Q是一个重要的特性参数,也是射频应用中首先要考虑的问题之一。“Q”代表“品质因子”,即电感的感抗XL与损耗的内阻RS之间的比率

但是,一些电感(比如铁氧体铁芯电感)在不同频率上电感值L不恒定,其质量因子不能简单按上述公式计算。为了正确测量质量因子,在测量中必须考虑与频率相关的铁氧体材料的实损和虚损,以及电感复合材料的各种电感和电容效应。
一般数据手册会列出频率与Q值的曲线图
我们以Würth Elektronik 的>744901115举例
图 15 Q值(图片来源:Würth Elektronik)
图 16 频率与Q值(图片来源:Würth Elektronik)
Q值的另一个因子是基材。线圈可以具备由铁氧体或陶瓷材料制成的基板。在数百兆赫兹及以上的频率范围内,不能使用铁氧体基板,而应使用陶瓷材料。下图显示了使用不同材料的电感的Q值和频率响应。
图 17 不同材料的电感的Q值和频率响应
最后
了解电感参数非常重要,在电感选型设计时帮助我们事半功倍。更多电感设计与常见问答的相关内容,可以去我们的 技术论坛 查看,或联系DigiKey客服得到更多支持。
更多有关电感技术文章,请点击以下链接,也欢迎大家在文末留言讨论。
小编的话
电感值作为电感电路设计中的必要参数,既有额定值也有变量值,而后者对正确设计电路也十分关键。相信通过本文,小伙伴们对于这些变量值以及如何计算有了更多的了解。您在设计电感电路中,对于这些关键的变量参数的定义和计算有哪些心得、经验或问题?欢迎留言,分享交流!
Have questions or comments? Continue the conversation on TechForum, Digi-Key's online community and technical resource.
Visit TechForum




