I TEXAS
INSTRUMENTS
LM4702
www.ti.com
SNAS328I –AUGUST 2005–REVISED APRIL 2013
LM4702 Audio Power Amplifier Series Stereo High Fidelity 200 Volt Driver with Mute
Check for Samples: LM4702
1FEATURES DESCRIPTION
The LM4702 is a high fidelity audio power amplifier
2• Very High Voltage Operation driver designed for demanding consumer and pro-
• Scalable Output Power audio applications. Amplifier output power may be
• Minimum External Components scaled by changing the supply voltage and number of
output devices. The LM4702 is capable of delivering
• External Compensation in excess of 300 watts per channel single ended into
• Thermal Shutdown and Mute an 8 ohm load in the presence of 10% high line
headroom and 20% supply regulation.
APPLICATIONS The LM4702 includes thermal shut down circuitry that
• AV Receivers activates when the die temperature exceeds 150°C.
• Audiophile Power Amps The LM4702's mute function, when activated, mutes
the input drive signal and forces the amplifier output
• Pro Audio to a quiescent state.
• High Voltage Industrial Applications The LM4702 is available in 3 grades that span a wide
range of applications and performance levels. The
KEY SPECIFICATIONS LM4702C is targeted at high volume applications.
• Wide operating voltage range: The LM4702B includes a higher voltage rating along
– LM4702A (1) (in development): with the tighter specifications. The LM4702A(1) (in
development) is the premium part with the highest
±20V to ±100V voltage rating, fully specified with limits over voltage
– LM4702B: ±20V to ±100V and temperature, and is offered in a military 883
– LM4702C: ±20V to ±75V compliant TO-3 package.
• Equivalent Noise: 3μV
• PSRR: 110dB (typ)
• THD+N (A and B Grades): 0.0003%
(1) Tentative Max Operating voltage for the LM4702A (in
development).
1
Please be aware that an important notice concerning availability, standard warranty, and use in critical applications of
Texas Instruments semiconductor products and disclaimers thereto appears at the end of this data sheet.
2All trademarks are the property of their respective owners.
UNLESS OTHERWISE NOTED this document contains Copyright © 2005–2013, Texas Instruments Incorporated
PRODUCTION DATA information current as of publication date.
Products conform to specifications per the terms of Texas
Instruments standard warranty. Production processing does not
necessarily include testing of all parameters.
l TEXAS
INSTRUMENTS
RH
56 m
+Vcc
0C1
05+ an pF
Cm R1
10 {AF 1 8 >62
I l \
J_ I I 'WV
T cm. Run
10 uF 1 8 k9
(?—| ' w»
I +
R51 /
_ 56 k!)
- +5
5‘ Mme
J. Cvcmtry
RM
sz Rmz
105$ «em
(%—H w»
II
J. "
_ Ca
10m:
Sou rceZ
LM4702
SNAS328I –AUGUST 2005–REVISED APRIL 2013
www.ti.com
TYPICAL APPLICATION
Figure 1. Typical Audio Amplifier Application Circuit
2Submit Documentation Feedback Copyright © 2005–2013, Texas Instruments Incorporated
Product Folder Links: LM4702
l TEXAS
INSTRUMENTS
Am
LM4702
15
14
13
12
11
1D
_waum4m
-VEE
+vcc
+Vcc
Sourcez
Sinkz
compz
- IN 2
4- IN 2
GND
+ IN 1
- IN 1
comm
5mm
Souroe1
Mute
LM4702
LM4702
www.ti.com
SNAS328I –AUGUST 2005–REVISED APRIL 2013
CONNECTION DIAGRAM
Figure 2. 15-Lead TO-220 (NDL Package)
(for LM4702B and LM4702C)
Top View
A. The 15-lead NDL is a non-isolated package. The package’s metal back and any heat sink to which it is mounted are
connected to the Vee potential when using only thermal compound. If a mica washer is used in addition to thermal
compound, θCS (case to sink) is increased, but the heat sink will be electrically isolated from Vee.
Figure 3. 15-Lead TO-220 (NDL Package)
(for LM4702B and LM4702C)
These devices have limited built-in ESD protection. The leads should be shorted together or the device placed in conductive foam
during storage or handling to prevent electrostatic damage to the MOS gates.
Copyright © 2005–2013, Texas Instruments Incorporated Submit Documentation Feedback 3
Product Folder Links: LM4702
l TEXAS
INSTRUMENTS
LM4702
SNAS328I –AUGUST 2005–REVISED APRIL 2013
www.ti.com
ABSOLUTE MAXIMUM RATINGS(1)(2)(3)
C Part 200V
Supply Voltage |V+| + |V-|A, B Parts 200V
Differential Input Voltage +/-6V
Common Mode Input Range 0.4 Vee to 0.4 Vcc
Power Dissipation(4) 4W
ESD Susceptibility(5) 1.5kV
ESD Susceptibility(6) 200V
Junction Temperature (TJMAX)(7) 150°C
Soldering Information NDL Package (10 seconds)(8) 260°C
Storage Temperature -40°C to +150°C
θJA 30°C/W
Thermal Resistance θJC 1°C/W
(1) Absolute Maximum Ratings indicate limits beyond which damage to the device may occur. Operating Ratings indicate conditions for
which the device is functional, but do not ensure specific performance limits. Electrical Characteristics state DC and AC electrical
specifications under particular test condition which ensure specific performance limits. This assumes that the device is within the
Operating Ratings. Specifications are not ensured for parameters where no limit is given. However, the typical value is a good indication
of device's performance.
(2) All voltages are measured with respect to the ground pins, unless otherwise specified.
(3) If Military/Aerospace specified devices are required, please contact the Texas Instruments Sales Office/ Distributors for availability and
specifications.
(4) The maximum power dissipation must be de-rated at elevated temperatures and is dictated by TJMAX,θJC, and the ambient temperature
TA. The maximum allowable power dissipation is PDMAX = (TJMAX -TA)/θJC or the number given in the Absolute Maximum Ratings,
whichever is lower. For the LM4702, TJMAX = 150°C and the typical θJC is 1°C/W. Refer to the Thermal Considerations section for
more information.
(5) Human body model, 100pF discharged through a 1.5kΩresistor.
(6) Machine Model: a 220pF - 240pF discharged through all pins.
(7) The maximum operating junction temperature is 150°C.
(8) The 15-lead NDL is a non-isolated package. The package’s metal back and any heat sink to which it is mounted are connected to the
Vee potential when using only thermal compound. If a mica washer is used in addition to thermal compound, θCS (case to sink) is
increased, but the heat sink will be electrically isolated from Vee.
OPERATING RATINGS(1)(2)
Temperature Range (TMIN ≤TA≤TMAX)−20°C ≤TA≤+75°C
LM4702A (in development) +/-20V ≤VTOTAL ≤+/-100V
Supply Voltage |V+| + |V-| LM4702B +/-20V ≤VTOTAL ≤+/-100V
LM4702C +/-20V ≤VTOTAL ≤+/-75V
(1) All voltages are measured with respect to the ground pins, unless otherwise specified.
(2) Absolute Maximum Ratings indicate limits beyond which damage to the device may occur. Operating Ratings indicate conditions for
which the device is functional, but do not ensure specific performance limits. Electrical Characteristics state DC and AC electrical
specifications under particular test condition which ensure specific performance limits. This assumes that the device is within the
Operating Ratings. Specifications are not ensured for parameters where no limit is given. However, the typical value is a good indication
of device's performance.
4Submit Documentation Feedback Copyright © 2005–2013, Texas Instruments Incorporated
Product Folder Links: LM4702
l TEXAS
INSTRUMENTS
LM4702
www.ti.com
SNAS328I –AUGUST 2005–REVISED APRIL 2013
ELECTRICAL CHARACTERISTICS (LM4702C) Vcc = +75V, Vee = –75V(1)(2)
The following specifications apply for IMUTE = 1.5mA, Figure 19, unless otherwise specified. Limits apply for TA= 25°C.
LM4702 Units
Symbol Parameter Conditions (Limits)
Typical(3) Limit(4)(5)
Total Quiescent Power Supply
ICC VCM = 0V, VO= 0V, IO= 0A 25 30 mA (max)
Current
Total Harmonic Distortion + No load, AV= 30dB
THD+N 0.005 %
Noise VOUT = 14VRMS @ 1kHz
RSInput Bias Resistor 50 100 kΩ(max)
Av Closed Loop Voltage Gain 26 dB (min)
Av open Open Loop Gain Vin = 1mVrms, f = 1KHz, C = 30pF 93 dB
Vom Output Voltage Swing THD = 0.05%, Freq = 20Hz to 20KHz 51 Vrms (min)
150 300 μV (max)
Rs = 10kΩ, LPF = 30kHz, Av = 30dB
Vnoise Output Noise A-weighted 90 μV
3 mA(min)
IOUT Output Current Current from Source to Sink Pins 5.5 10 mA (max)
1 mA(min)
Imute Current into Mute Pin To put part in “play” mode 1.5 2 mA (max)
XTALK Channel Separation(6) f = 1kHz @ Av = 30dB 85 dB
VIN = 1.2VP-P, f = 10kHz square Wave,
SR Slew Rate 15 V/μs
Outputs shorted
VOS Input Offset Voltage VCM = 0V, IO= 0mA 10 35 mV (max)
IBInput Bias Current VCM = 0V, IO= 0mA 500 nA
Rs = 1k, f = 100Hz,
PSRR Power Supply Rejection Ratio 110 95 dB (min)
Vripple = 1Vrms, Input Referred
(1) All voltages are measured with respect to the ground pins, unless otherwise specified.
(2) Absolute Maximum Ratings indicate limits beyond which damage to the device may occur. Operating Ratings indicate conditions for
which the device is functional, but do not ensure specific performance limits. Electrical Characteristics state DC and AC electrical
specifications under particular test condition which ensure specific performance limits. This assumes that the device is within the
Operating Ratings. Specifications are not ensured for parameters where no limit is given. However, the typical value is a good indication
of device's performance.
(3) Typical specifications are measured at 25°C and represent the parametric norm.
(4) Tested limits are specified to AOQL (Average Outgoing Quality Level).
(5) Datasheet min/max specification limits are specified by design, test, or statistical analysis.
(6) PCB layout will affect cross talk. It is recommended that input and output traces be separated by as much distance as possible. Return
ground traces from outputs should be independent back to a single ground point and use as wide of traces as possible.
Copyright © 2005–2013, Texas Instruments Incorporated Submit Documentation Feedback 5
Product Folder Links: LM4702
l TEXAS
INSTRUMENTS
LM4702
SNAS328I –AUGUST 2005–REVISED APRIL 2013
www.ti.com
ELECTRICAL CHARACTERISTICS (LM4702C) Vcc = +50V, Vee = –50V(1)(2)
The following specifications apply for IMUTE = 1.5mA, Figure 19, unless otherwise specified. Limits apply for TA= 25°C.
LM4702 Units
Symbol Parameter Conditions (Limits)
Typical(3) Limit(4)(5)
Total Quiescent Power Supply VCM = 0V, VO= 0V, IO= 0A
ICC 22 30 mA (max)
Current
Total Harmonic Distortion + No load, AV= 30dB
THD+N 0.005 %
Noise VOUT = 10VRMS @ 1kHz
RSInput Bias Resistor 50 100 kΩ(max)
Av Closed Loop Voltage Gain 26 dB (min)
Av open Open Loop Gain Vin = 1mVrms, f = 1KHz, C = 30pF 93 dB
Vom Output Voltage Swing THD = 0.05%, Freq = 20Hz to 20KHz 33 Vrms (min)
150 300 μV (max)
Rs = 10kΩ, LPF = 30kHz, Av = 30dB
Vnoise Output Noise A-weighted 90 μV
3 mA(min)
IOUT Output Current Outputs Shorted 5.2 10 mA (max)
1 mA(min)
Imute Current into Mute Pin To put part in “play” mode 1.5 2 mA (max)
XTALK Channel Separation(6) f = 1kHz at Av = 30dB 85 dB
VIN = 1.2VP-P, f = 10kHz square Wave,
SR Slew Rate 15 V/μs
Outputs shorted
VOS Input Offset Voltage VCM = 0V, IO= 0mA 10 35 mV (max)
IBInput Bias Current VCM = 0V, IO= 0mA 500 nA
Rs = 1k, f = 100Hz,
PSRR Power Supply Rejection Ratio 110 95 dB (min)
Vripple = 1Vrms, Input Referred
(1) All voltages are measured with respect to the ground pins, unless otherwise specified.
(2) Absolute Maximum Ratings indicate limits beyond which damage to the device may occur. Operating Ratings indicate conditions for
which the device is functional, but do not ensure specific performance limits. Electrical Characteristics state DC and AC electrical
specifications under particular test condition which ensure specific performance limits. This assumes that the device is within the
Operating Ratings. Specifications are not ensured for parameters where no limit is given. However, the typical value is a good indication
of device's performance.
(3) Typical specifications are measured at 25°C and represent the parametric norm.
(4) Tested limits are specified to AOQL (Average Outgoing Quality Level).
(5) Datasheet min/max specification limits are specified by design, test, or statistical analysis.
(6) PCB layout will affect cross talk. It is recommended that input and output traces be separated by as much distance as possible. Return
ground traces from outputs should be independent back to a single ground point and use as wide of traces as possible.
6Submit Documentation Feedback Copyright © 2005–2013, Texas Instruments Incorporated
Product Folder Links: LM4702
l TEXAS
INSTRUMENTS
LM4702
www.ti.com
SNAS328I –AUGUST 2005–REVISED APRIL 2013
ELECTRICAL CHARACTERISTICS (LM4702B) Vcc = +100V, Vee = –100V(1)(2)
The following specifications apply for IMUTE = 1.5mA, Figure 19, unless otherwise specified. Limits apply for TA= 25°C.
LM4702 Units
Symbol Parameter Conditions (Limits)
Typical(3) Limit(4)(5)
Total Quiescent Power Supply
ICC VCM = 0V, VO= 0V, IO= 0A 27 35 mA (max)
Current
Total Harmonic Distortion + No load, AV= 30dB
THD+N 0.0003 0.001 % (max)
Noise VOUT = 20VRMS @ 1kHz
RSInput Bias Resistor 50 100 kΩ(max)
Av Closed Loop Voltage Gain 26 dB (min)
Av open Open Loop Gain Vin = 1mVrms, f = 1KHz, C = 30pF 93 dB
Vom Output Voltage Swing THD = 0.05%, Freq = 20Hz to 20KHz 67 Vrms (min)
150 300
Rs = 10kΩ, LPF = 30kHz, Av = 30dB
Vnoise Output Noise μV (max)
A-weighted 90
3 mA(min)
IOUT Output Current Outputs Shorted 5.5 8 mA (max)
1 mA(min)
Imute Current into Mute Pin To put part in “play” mode 1.5 2 mA (max)
XTALK Channel Separation(6) f = 1kHz at Av = 30dB 87 85 dB (min)
VIN = 1.2VP-P, f = 10kHz square Wave,
SR Slew Rate 17 15 V/μs (min)
Outputs shorted
VOS Input Offset Voltage VCM = 0V, IO= 0mA 14 40 mV (max)
IBInput Bias Current VCM = 0V, IO= 0mA 200 nA (max)
Rs = 1k, f = 100Hz,
PSRR Power Supply Rejection Ratio 110 100 dB (min)
Vripple = 1Vrms, Input Referred
(1) All voltages are measured with respect to the ground pins, unless otherwise specified.
(2) Absolute Maximum Ratings indicate limits beyond which damage to the device may occur. Operating Ratings indicate conditions for
which the device is functional, but do not ensure specific performance limits. Electrical Characteristics state DC and AC electrical
specifications under particular test condition which ensure specific performance limits. This assumes that the device is within the
Operating Ratings. Specifications are not ensured for parameters where no limit is given. However, the typical value is a good indication
of device's performance.
(3) Typical specifications are measured at 25°C and represent the parametric norm.
(4) Tested limits are specified to AOQL (Average Outgoing Quality Level).
(5) Datasheet min/max specification limits are specified by design, test, or statistical analysis.
(6) PCB layout will affect cross talk. It is recommended that input and output traces be separated by as much distance as possible. Return
ground traces from outputs should be independent back to a single ground point and use as wide of traces as possible.
Copyright © 2005–2013, Texas Instruments Incorporated Submit Documentation Feedback 7
Product Folder Links: LM4702
l TEXAS
INSTRUMENTS
LM4702
SNAS328I –AUGUST 2005–REVISED APRIL 2013
www.ti.com
ELECTRICAL CHARACTERISTICS (LM4702A) Vcc = +100V, Vee = –100V(1)(2)
(PRE-RELEASE INFORMATION)
The following specifications apply for IMUTE = 1.5mA, Figure 19, unless otherwise specified. Limits apply for TA= 25°C.
LM4702 Units
Symbol Parameter Conditions (Limits)
Typical(3) Limit(4)(5)
Total Quiescent Power Supply
ICC VCM = 0V, VO= 0V, IO= 0A 27 TBD mA (max)
Current
No load, AV= 30dB
VOUT = 20VRMS
Total Harmonic Distortion + f = 1kHz 0.001 TBD
THD+N Noise f = 10kHz TBD TBD % (max)
f = 100Hz TBD TBD
RSInput Bias Resistor 50 TBD kΩ(max)
Av Closed Loop Voltage Gain TBD dB (min)
Av open Open Loop Gain Vin = 1mVrms, f = 1KHz, C = 30pF 93 dB
Vom Output Voltage Swing THD = 0.05%, Freq = 20Hz to 20KHz 57 TBD Vrms (min)
Rs = 10kΩ, LPF = 30kHz, Av = 30dB 100 TBD
Vnoise Output Noise μV (max)
A-weighted 80 TBD
TBD mA(min)
IOUT Output Current Outputs Shorted 5.5 TBD mA (max)
To put part in “play” mode TBD mA(min)
Imute Current into Mute Pin 1.5 TBD mA (max)
Av = 30dB
f = 1kHz 90 TBD
XTALK Channel Separation(6)
f = 10kHz TBD TBD dB (min)
f = 100Hz TBD TBD
VIN = 1.2VP-P, f = 10kHz square Wave,
SR Slew Rate TBD TBD V/μs (min)
Outputs shorted
VOS Input Offset Voltage VCM = 0V, IO= 0mA 5 TBD mV (max)
IBInput Bias Current VCM = 0V, IO= 0mA 150 TBD nA (max)
Rs = 1k, f = 100Hz,
PSRR Power Supply Rejection Ratio 110 TBD dB (min)
Vripple = 1Vrms, Input Referred
at 20kHz / 19kHz
IMD Intermodulation Distortion TBD TBD dB
at 60Hz / 7kHz
(1) All voltages are measured with respect to the ground pins, unless otherwise specified.
(2) Absolute Maximum Ratings indicate limits beyond which damage to the device may occur. Operating Ratings indicate conditions for
which the device is functional, but do not ensure specific performance limits. Electrical Characteristics state DC and AC electrical
specifications under particular test condition which ensure specific performance limits. This assumes that the device is within the
Operating Ratings. Specifications are not ensured for parameters where no limit is given. However, the typical value is a good indication
of device's performance.
(3) Typical specifications are measured at 25°C and represent the parametric norm.
(4) Tested limits are specified to AOQL (Average Outgoing Quality Level).
(5) Datasheet min/max specification limits are specified by design, test, or statistical analysis.
(6) PCB layout will affect cross talk. It is recommended that input and output traces be separated by as much distance as possible. Return
ground traces from outputs should be independent back to a single ground point and use as wide of traces as possible.
8Submit Documentation Feedback Copyright © 2005–2013, Texas Instruments Incorporated
Product Folder Links: LM4702
l TEXAS
INSTRUMENTS
,4.) 740
750 750
-50 -50
9:] JD 9:] rm
3 -au / a -au
i i
A 790 A 790
.1 .1
00 OD //
71W 71W
,120 ,120
20 100 1k 10k20k 20 100 1k 10k20k
FREQUENCWHI) FREQUENCWHI)
20 100 1k 10k 20k
THD+N (%)
FREQUENCY (Hz)
50 200 2k500 5k
0.0001
0.001
0.01
0.1
1
10
0.0002
0.002
0.02
0.2
2
0.0005
0.005
0.05
0.5
5
20 100 1k 10k 20k
THD+N (%)
FREQUENCY (Hz)
50 200 2k500 5k
0.0001
0.001
0.01
0.1
1
10
0.0002
0.002
0.02
0.2
2
0.0005
0.005
0.05
0.5
5
1 10 60
OUTPUT VOLTAGE (V)
100m
THD+N (%)
0.0001
0.001
0.01
0.1
1
10
0.0002
0.002
0.02
0.2
2
0.0005
0.005
0.05
0.5
5
2 20200m 5500m
1 10 90
OUTPUT VOLTAGE (V)
100m
THD+N (%)
0.0001
0.001
0.01
0.1
1
10
0.0002
0.002
0.02
0.2
2
0.0005
0.005
0.05
0.5
5
2 20200m 5 50500m
LM4702
www.ti.com
SNAS328I –AUGUST 2005–REVISED APRIL 2013
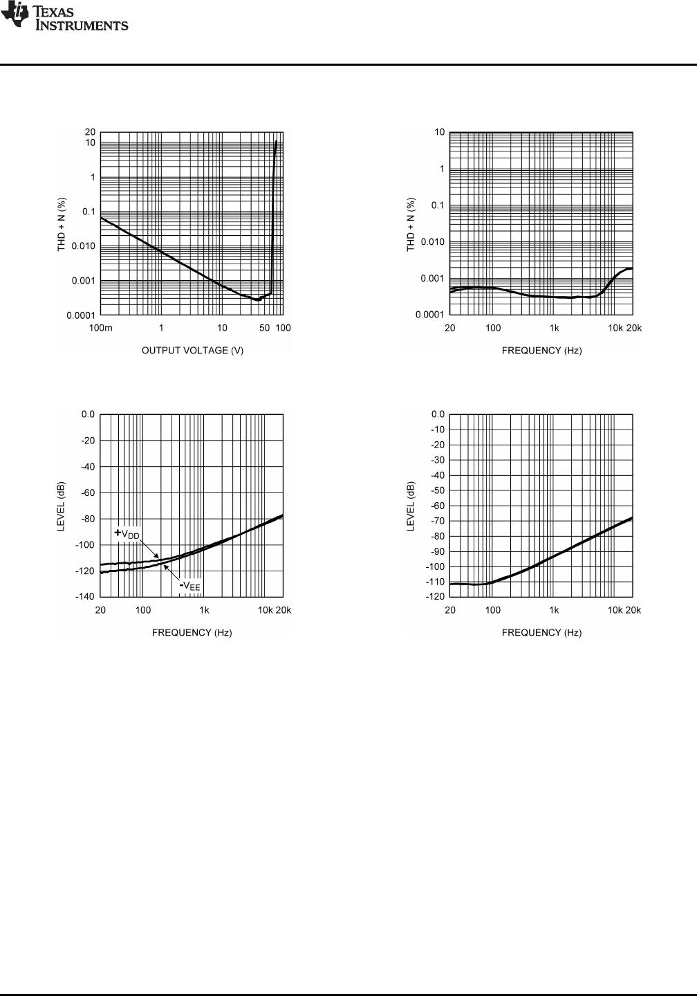
TYPICAL PERFORMANCE CHARACTERISTICS FOR LM4702C
THD+N vs Output Voltage THD+N vs Output Voltage
VDD = ±50V, f = 1kHz, outputs shorted VDD = ±75V, f = 1kHz, outputs shorted
Figure 4. Figure 5.
THD+N vs Frequency THD+N vs Frequency
VDD = ±50V, VOUT = 10Vrms, outputs shorted VDD = ±75V, VOUT = 14Vrms, outputs shorted
Figure 6. Figure 7.
Crosstalk vs Frequency Crosstalk vs Frequency
VDD = ±50V VDD = ±75V
Figure 8. Figure 9.
Copyright © 2005–2013, Texas Instruments Incorporated Submit Documentation Feedback 9
Product Folder Links: LM4702
l TEXAS
INSTRUMENTS
LEVEL ma)
LEVEL we)
20
20
mo 1k
FREQUENCWHI)
mo 1k
FREQUENCWHI)
wk 20k
wk 20k
mu
LEVEL ma)
LEVEL ma)
20
20
PHASE (1
mo 1k mkzak
FREQUENCWHI)
mo 1k mkzak
FREQUENCWHI)
100 10k 10M 100M100k
1k
10
FREQUENCY (Hz)
1M
180
-20
20
80
GAIN (dB)
140
120
60
40
0
100
160
203
-23
23
90
158
135
68
45
0
113
180
PHASE (°)
LM4702
SNAS328I –AUGUST 2005–REVISED APRIL 2013
www.ti.com
TYPICAL PERFORMANCE CHARACTERISTICS FOR LM4702C (continued)
+PSRR vs Frequency −PSRR vs Frequency
VDD = ±50V, RS= 1kΩ, Ripple on VCC VDD = ±50V, RS= 1kΩ, Ripple on Vee
Figure 10. Figure 11.
+PSRR vs Frequency −PSRR vs Frequency
VDD = ±75V, RS= 1kΩ, Ripple on VCC VDD = ±75V, RS= 1kΩ, Ripple on Vee
Figure 12. Figure 13.
Open Loop and Phase
Upper-Phase, Lower-Gain
Figure 14.
10 Submit Documentation Feedback Copyright © 2005–2013, Texas Instruments Incorporated
Product Folder Links: LM4702
l TEXAS
INSTRUMENTS
womm)
0 00m
LEVEL (d8)
20 10
10
a
01
0mm
THU . N 1%)
0mm
e em 0 001
D 0001
mum 1 10 50 mm 20 mo
1k 10K20k
OUTPUT VOLTAGE (w FREQUENCY (Hz)
00
.40
so
LEVEL (48)
.100
420
'VEE
440
20 mo 1x WK 20k 20 100 1k wk 20x
FREQUENCY (Hz) FREQUENCY (Hz)
LM4702
www.ti.com
SNAS328I –AUGUST 2005–REVISED APRIL 2013
TYPICAL PERFORMANCE CHARACTERISTICS FOR LM4702B
THD+N vs Output Voltage THD+N vs Frequency
VDD = 100V VDD = 100V, VOUT = 30VRMS
Figure 15. Figure 16.
PSRR vs Frequency XTALK vs Frequency
VDD = 100V B grade Demo Amp @ VDD = 50V
Figure 17. Figure 18.
Copyright © 2005–2013, Texas Instruments Incorporated Submit Documentation Feedback 11
Product Folder Links: LM4702
l TEXAS
INSTRUMENTS
Vcc
Vcc
Rf
Cc
30 pF
Cc
30 pF
Ri
Cs
0.1 F
P
Cs
0.1 F
P
Cs
0.1 F
P
Cs
0.1 F
P
Rf
1.8k :
1.8k :
Ri
1.8k :
+
+
+
+
In1
In2
5V Mute
Circuitry
1
2
3
4
5
6
8
9
10
11
12
13,14
15
15
13,14
7
7
+
+
-
-
Rs
56k :
Rs
56k :
Vcc
-
Vcc-
22 F
P
10 F
P
10 F
P
22 F
P
Source2
Sink2
Source1
Sink1
56 k :
1.4 k :
56 k :
1.8 k :
LM4702
SNAS328I –AUGUST 2005–REVISED APRIL 2013
www.ti.com
TEST CIRCUIT
Figure 19.
12 Submit Documentation Feedback Copyright © 2005–2013, Texas Instruments Incorporated
Product Folder Links: LM4702
l TEXAS
INSTRUMENTS
LM4702
www.ti.com
SNAS328I –AUGUST 2005–REVISED APRIL 2013
APPLICATION INFORMATION
MUTE FUNCTION
The mute function of the LM4702 is controlled by the amount of current that flows into the mute pin. If there is
less than 1mA of current flowing into the mute pin, the part will be in mute. This can be achieved by shorting the
mute pin to ground or by floating the mute pin. If there is between 1mA and 2mA of current flowing into the mute
pin, the part will be in “play” mode. This can be done by connecting a power supply (Vmute) to the mute pin
through a resistor (Rm). The current into the mute pin can be determined by the equation Imute = (Vmute – 2.9) /
Rm. For example, if a 5V power supply is connected through a 1.4k resistor to the mute pin, then the mute
current will be 1.5mA, at the center of the specified range. It is also possible to use Vcc as the power supply for
the mute pin, though Rm will have to be recalculated accordingly. It is not recommended to flow more than 2mA
of current into the mute pin because damage to the LM4702 may occur.
It is highly recommended to switch between mute and “play” modes rapidly. This is accomplished most easily
through using a toggle switch that alternatively connects the mute pin through a resistor to either ground or the
mute pin power supply. Slowly increasing the mute current may result in undesired voltages on the outputs of the
LM4702, which can damage an attached speaker.
THERMAL PROTECTION
The LM4702 has a sophisticated thermal protection scheme to prevent long-term thermal stress of the device.
When the temperature on the die exceeds 150°C, the LM4702 shuts down. It starts operating again when the die
temperature drops to about 145°C, but if the temperature again begins to rise, shutdown will occur again above
150°C. Therefore, the device is allowed to heat up to a relatively high temperature if the fault condition is
temporary, but a sustained fault will cause the device to cycle in a Schmitt Trigger fashion between the thermal
shutdown temperature limits of 150°C and 145°C. This greatly reduces the stress imposed on the IC by thermal
cycling, which in turn improves its reliability under sustained fault conditions.
Since the die temperature is directly dependent upon the heat sink used, the heat sink should be chosen so that
thermal shutdown is not activated during normal operation. Using the best heat sink possible within the cost and
space constraints of the system will improve the long-term reliability of any power semiconductor device, as
discussed in the DETERMINING THE CORRECT HEAT SINK section.
POWER DISSIPATION AND HEAT SINKING
When in “play” mode, the LM4702 draws a constant amount of current, regardless of the input signal amplitude.
Consequently, the power dissipation is constant for a given supply voltage and can be computed with the
equation PDMAX = Icc * (Vcc – Vee). For a quick calculation of PDMAX, approximate the current to be 25mA and
multiply it by the total supply voltage (the current varies slightly from this value over the operating range).
DETERMINING THE CORRECT HEAT SINK
The choice of a heat sink for a high-power audio amplifier is made entirely to keep the die temperature at a level
such that the thermal protection circuitry is not activated under normal circumstances.
The thermal resistance from the die to the outside air, θJA (junction to ambient), is a combination of three thermal
resistances, θJC (junction to case), θCS (case to sink), and θSA (sink to ambient). The thermal resistance, θJC
(junction to case), of the LM4702T is 0.8°C/W. Using Thermalloy Thermacote thermal compound, the thermal
resistance, θCS (case to sink), is about 0.2°C/W. Since convection heat flow (power dissipation) is analogous to
current flow, thermal resistance is analogous to electrical resistance, and temperature drops are analogous to
voltage drops, the power dissipation out of the LM4702 is equal to the following:
PDMAX = (TJMAX−TAMB) / θJA
where
• TJMAX = 150°C
• TAMB is the system ambient temperature
•θJA =θJC +θCS +θSA (1)
Copyright © 2005–2013, Texas Instruments Incorporated Submit Documentation Feedback 13
Product Folder Links: LM4702
l TEXAS
INSTRUMENTS
LM4702
SNAS328I –AUGUST 2005–REVISED APRIL 2013
www.ti.com
Figure 20.
Once the maximum package power dissipation has been calculated using Equation 2, the maximum thermal
resistance, θSA, (heat sink to ambient) in °C/W for a heat sink can be calculated. This calculation is made using
Equation 4 which is derived by solving for θSA Equation 3.
θSA = [(TJMAX−TAMB)−PDMAX(θJC +θCS)] / PDMAX (2)
Again it must be noted that the value of θSA is dependent upon the system designer's amplifier requirements. If
the ambient temperature that the audio amplifier is to be working under is higher than 25°C, then the thermal
resistance for the heat sink, given all other things are equal, will need to be smaller.
PROPER SELECTION OF EXTERNAL COMPONENTS
Proper selection of external components is required to meet the design targets of an application. The choice of
external component values that will affect gain and low frequency response are discussed below.
The gain of each amplifier is set by resistors Rfand Rifor the non-inverting configuration shown in Figure 1. The
gain is found by Equation 3 below:
AV= 1 + Rf/ Ri(V/V) (3)
For best noise performance, lower values of resistors are used. A value of 1kΩis commonly used for Riand then
setting the value of Rffor the desired gain. For the LM4702 the gain should be set no lower than 26dB. Gain
settings below 26dB may experience instability.
The combination of Riwith Ci(see Figure 1) creates a high pass filter. The low frequency response is determined
by these two components. The -3dB point can be found from Equation 4 shown below:
fi= 1 / (2πRiCi) (Hz) (4)
If an input coupling capacitor is used to block DC from the inputs as shown in Figure 1, there will be another high
pass filter created with the combination of CIN and RIN. When using a input coupling capacitor RIN is needed to
set the DC bias point on the amplifier's input terminal. The resulting -3dB frequency response due to the
combination of CIN and RIN can be found from Equation 5 shown below:
fIN = 1 / (2πRINCIN) (Hz) (5)
With large values of RIN oscillations may be observed on the outputs when the inputs are left floating. Decreasing
the value of RIN or not letting the inputs float will remove the oscillations. If the value of RIN is decreased then the
value of CIN will need to increase in order to maintain the same -3dB frequency response.
AVOIDING THERMAL RUNAWAY WHEN USING BIPOLAR OUTPUT STAGES
When using a bipolar output stage with the LM4702 (as in Figure 1), the designer must beware of thermal
runaway. Thermal runaway is a result of the temperature dependence of Vbe (an inherent property of the
transistor). As temperature increases, Vbe decreases. In practice, current flowing through a bipolar transistor
heats up the transistor, which lowers the Vbe. This in turn increases the current again, and the cycle repeats. If
the system is not designed properly, this positive feedback mechanism can destroy the bipolar transistors used in
the output stage.
One of the recommended methods of preventing thermal runaway is to use a heat sink on the bipolar output
transistors. This will keep the temperature of the transistors lower. A second recommended method is to use
emitter degeneration resistors (see Re1, Re2, Re3, Re4 in Figure 1). As current increases, the voltage across
the emitter degeneration resistor also increases, which decreases the voltage across the base and emitter. This
mechanism helps to limit the current and counteracts thermal runaway.
14 Submit Documentation Feedback Copyright © 2005–2013, Texas Instruments Incorporated
Product Folder Links: LM4702
TEXAS
INSTRUMENTS
m
m
Na‘ianal Samlcnndunnr - Overtura Series
anoz Hugh Unhage, Slareu war mama” an“: with m.
(mum, ma Us Imam m y. mm” we, may my“ av m, m.
101. , m. m spasm Um am pm v mum's, mm mm Mm; aver“
Sum m
SD _
want]: an:
7 w D
mi}; (at. El»
m2 3 E
n,2( w om) rules
W
m m
7
LM4702
www.ti.com
SNAS328I –AUGUST 2005–REVISED APRIL 2013
A third recommended method is to use a “Vbe multiplier” to bias the bipolar output stage (see Figure 1). The Vbe
multiplier consists of a bipolar transistor (Qmult, see Figure 1) and two resistors, one from the base to the
collector (Rb2, Rb4, see Figure 1) and one from the base to the emitter (Rb1, Rb3, see Figure 1). The voltage
from the collector to the emitter (also the bias voltage of the output stage) is Vbias = Vbe(1+Rb2/Rb1), which is
why this circuit is called the Vbe multiplier. When Vbe multiplier transistor (Qmult, see Figure 1) is mounted to the
same heat sink as the bipolar output transistors, its temperature will track that of the output transistors. Its Vbe is
dependent upon temperature as well, and so it will draw more current as the output transistors heat it up. This
will limit the base current into the output transistors, which counteracts thermal runaway.
LM4702 DEMO BOARD ARTWORK
Figure 21. Top Overlay
Copyright © 2005–2013, Texas Instruments Incorporated Submit Documentation Feedback 15
Product Folder Links: LM4702
l TEXAS
INSTRUMENTS
LM4702
www.ti.com
SNAS328I –AUGUST 2005–REVISED APRIL 2013
REVISION HISTORY
Rev Date Description
1.0 8/31/05 Initial WEB.
1.1 9/09/05 Taken out Limits on Vom (under the +75V and
+50V).
1.2 9/14/05 Changed TM to R ( Overture R) in the doc
title.
1.3 03/08/06 Text edits.
1.4 04/26/04 Edited Limit values on the LM4702B spec
table.
1.5 08/09/06 Released the D/S to the WEB with the
LM4702B data.
1.6 09/19/06 Removed the “Overture R” from the document
title, then released the D/S to the WEB
I 04/04/13 Changed layout of National Data Sheet to TI
format
Copyright © 2005–2013, Texas Instruments Incorporated Submit Documentation Feedback 17
Product Folder Links: LM4702
I
TEXAS
INSTRUMENTS
PACKAGE OPTION ADDENDUM
www.ti.com 1-Oct-2016
Addendum-Page 1
PACKAGING INFORMATION
Orderable Device Status
(1)
Package Type Package
Drawing Pins Package
Qty Eco Plan
(2)
Lead/Ball Finish
(6)
MSL Peak Temp
(3)
Op Temp (°C) Device Marking
(4/5)
Samples
LM4702BTA/NOPB OBSOLETE TO-220 NDL 15 TBD Call TI Call TI -20 to 75 LM4702BTA
LM4702CTA/NOPB OBSOLETE TO-220 NDL 15 TBD Call TI Call TI -20 to 75 LM4702CTA
(1) The marketing status values are defined as follows:
ACTIVE: Product device recommended for new designs.
LIFEBUY: TI has announced that the device will be discontinued, and a lifetime-buy period is in effect.
NRND: Not recommended for new designs. Device is in production to support existing customers, but TI does not recommend using this part in a new design.
PREVIEW: Device has been announced but is not in production. Samples may or may not be available.
OBSOLETE: TI has discontinued the production of the device.
(2) Eco Plan - The planned eco-friendly classification: Pb-Free (RoHS), Pb-Free (RoHS Exempt), or Green (RoHS & no Sb/Br) - please check http://www.ti.com/productcontent for the latest availability
information and additional product content details.
TBD: The Pb-Free/Green conversion plan has not been defined.
Pb-Free (RoHS): TI's terms "Lead-Free" or "Pb-Free" mean semiconductor products that are compatible with the current RoHS requirements for all 6 substances, including the requirement that
lead not exceed 0.1% by weight in homogeneous materials. Where designed to be soldered at high temperatures, TI Pb-Free products are suitable for use in specified lead-free processes.
Pb-Free (RoHS Exempt): This component has a RoHS exemption for either 1) lead-based flip-chip solder bumps used between the die and package, or 2) lead-based die adhesive used between
the die and leadframe. The component is otherwise considered Pb-Free (RoHS compatible) as defined above.
Green (RoHS & no Sb/Br): TI defines "Green" to mean Pb-Free (RoHS compatible), and free of Bromine (Br) and Antimony (Sb) based flame retardants (Br or Sb do not exceed 0.1% by weight
in homogeneous material)
(3) MSL, Peak Temp. - The Moisture Sensitivity Level rating according to the JEDEC industry standard classifications, and peak solder temperature.
(4) There may be additional marking, which relates to the logo, the lot trace code information, or the environmental category on the device.
(5) Multiple Device Markings will be inside parentheses. Only one Device Marking contained in parentheses and separated by a "~" will appear on a device. If a line is indented then it is a continuation
of the previous line and the two combined represent the entire Device Marking for that device.
(6) Lead/Ball Finish - Orderable Devices may have multiple material finish options. Finish options are separated by a vertical ruled line. Lead/Ball Finish values may wrap to two lines if the finish
value exceeds the maximum column width.
Important Information and Disclaimer:The information provided on this page represents TI's knowledge and belief as of the date that it is provided. TI bases its knowledge and belief on information
provided by third parties, and makes no representation or warranty as to the accuracy of such information. Efforts are underway to better integrate information from third parties. TI has taken and
continues to take reasonable steps to provide representative and accurate information but may not have conducted destructive testing or chemical analysis on incoming materials and chemicals.
TI and TI suppliers consider certain information to be proprietary, and thus CAS numbers and other limited information may not be available for release.
In no event shall TI's liability arising out of such information exceed the total purchase price of the TI part(s) at issue in this document sold by TI to Customer on an annual basis.
I TEXAS
INSTRUMENTS
PACKAGE OPTION ADDENDUM
www.ti.com 1-Oct-2016
Addendum-Page 2
coumuuuo DIVEISION Is men
VALufiS IN I IARE MLqumzs
' TEXAS
INSTRUMENTS
MECHANICAL DATA
NDL0015A
www.ti.com
TA15A (Rev B)

IMPORTANT NOTICE
Texas Instruments Incorporated and its subsidiaries (TI) reserve the right to make corrections, enhancements, improvements and other
changes to its semiconductor products and services per JESD46, latest issue, and to discontinue any product or service per JESD48, latest
issue. Buyers should obtain the latest relevant information before placing orders and should verify that such information is current and
complete. All semiconductor products (also referred to herein as “components”) are sold subject to TI’s terms and conditions of sale
supplied at the time of order acknowledgment.
TI warrants performance of its components to the specifications applicable at the time of sale, in accordance with the warranty in TI’s terms
and conditions of sale of semiconductor products. Testing and other quality control techniques are used to the extent TI deems necessary
to support this warranty. Except where mandated by applicable law, testing of all parameters of each component is not necessarily
performed.
TI assumes no liability for applications assistance or the design of Buyers’ products. Buyers are responsible for their products and
applications using TI components. To minimize the risks associated with Buyers’ products and applications, Buyers should provide
adequate design and operating safeguards.
TI does not warrant or represent that any license, either express or implied, is granted under any patent right, copyright, mask work right, or
other intellectual property right relating to any combination, machine, or process in which TI components or services are used. Information
published by TI regarding third-party products or services does not constitute a license to use such products or services or a warranty or
endorsement thereof. Use of such information may require a license from a third party under the patents or other intellectual property of the
third party, or a license from TI under the patents or other intellectual property of TI.
Reproduction of significant portions of TI information in TI data books or data sheets is permissible only if reproduction is without alteration
and is accompanied by all associated warranties, conditions, limitations, and notices. TI is not responsible or liable for such altered
documentation. Information of third parties may be subject to additional restrictions.
Resale of TI components or services with statements different from or beyond the parameters stated by TI for that component or service
voids all express and any implied warranties for the associated TI component or service and is an unfair and deceptive business practice.
TI is not responsible or liable for any such statements.
Buyer acknowledges and agrees that it is solely responsible for compliance with all legal, regulatory and safety-related requirements
concerning its products, and any use of TI components in its applications, notwithstanding any applications-related information or support
that may be provided by TI. Buyer represents and agrees that it has all the necessary expertise to create and implement safeguards which
anticipate dangerous consequences of failures, monitor failures and their consequences, lessen the likelihood of failures that might cause
harm and take appropriate remedial actions. Buyer will fully indemnify TI and its representatives against any damages arising out of the use
of any TI components in safety-critical applications.
In some cases, TI components may be promoted specifically to facilitate safety-related applications. With such components, TI’s goal is to
help enable customers to design and create their own end-product solutions that meet applicable functional safety standards and
requirements. Nonetheless, such components are subject to these terms.
No TI components are authorized for use in FDA Class III (or similar life-critical medical equipment) unless authorized officers of the parties
have executed a special agreement specifically governing such use.
Only those TI components which TI has specifically designated as military grade or “enhanced plastic” are designed and intended for use in
military/aerospace applications or environments. Buyer acknowledges and agrees that any military or aerospace use of TI components
which have not been so designated is solely at the Buyer's risk, and that Buyer is solely responsible for compliance with all legal and
regulatory requirements in connection with such use.
TI has specifically designated certain components as meeting ISO/TS16949 requirements, mainly for automotive use. In any case of use of
non-designated products, TI will not be responsible for any failure to meet ISO/TS16949.
Products Applications
Audio www.ti.com/audio Automotive and Transportation www.ti.com/automotive
Amplifiers amplifier.ti.com Communications and Telecom www.ti.com/communications
Data Converters dataconverter.ti.com Computers and Peripherals www.ti.com/computers
DLP® Products www.dlp.com Consumer Electronics www.ti.com/consumer-apps
DSP dsp.ti.com Energy and Lighting www.ti.com/energy
Clocks and Timers www.ti.com/clocks Industrial www.ti.com/industrial
Interface interface.ti.com Medical www.ti.com/medical
Logic logic.ti.com Security www.ti.com/security
Power Mgmt power.ti.com Space, Avionics and Defense www.ti.com/space-avionics-defense
Microcontrollers microcontroller.ti.com Video and Imaging www.ti.com/video
RFID www.ti-rfid.com
OMAP Applications Processors www.ti.com/omap TI E2E Community e2e.ti.com
Wireless Connectivity www.ti.com/wirelessconnectivity
Mailing Address: Texas Instruments, Post Office Box 655303, Dallas, Texas 75265
Copyright © 2016, Texas Instruments Incorporated
Products related to this Datasheet
IC AMP AB STEREO 300W TO220-15
IC AMP AB STEREO 300W TO220-15
BOARD EVALUATION LM4702TA
